Time limit: 1s
Memory limit: 64MB
Input:
Output:
Cerință
Se dă un arbore cu noduri rădăcinat în .
Fiecare nod are o valoare asociata .
Costul unui lanț este definit ca suma valorilor de pe lanț la puterea .
Se consideră toate lanțurile care pornesc în nodul și se termină în nodul cu proprietatea că este un strămoș al lui .
Care este suma costurilor tuturor lanțurilor descrise mai sus modulo ?
Date de intrare
Pe prima linie se găsesc două numere și .
Pe următorul rând se găsesc valori: .
Pe următoarele rânduri se vor găsi câte numere, cu proprietatea că există muchie între cele noduri.
Date de ieșire
Se va afișa suma dorită modulor .
Restricții și precizări
- Arborele este rădăcinat în nodul .
Subtaskuri
- Pentru 15p
- Pentru alte 15p
- Pentru alte 20p
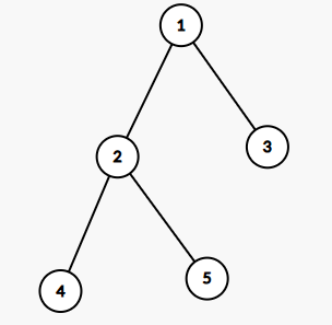
Exemplul 1
stdin
5 2
3 1 4 5 4
1 2
1 3
2 4
2 5
stdout
338
Explicație

Lanțurile de interes sunt:
Suma dorită este: .
Exemplul 2
stdin
3 5
66 68 70
1 2
2 3
stdout
945826610